Report on the first ascent of the route on p. Box via the left part of the north wall.
Ascent Passport
- Tian-Shan, Kyrgyz ridge, Ala-Archa gorge.
Peak Box, 4240 m, via the left part of the north wall. Proposed 5B category of difficulty, first ascent. The nature of the route is combined.
Height difference of the route: 800 m. Route length: 1100 m
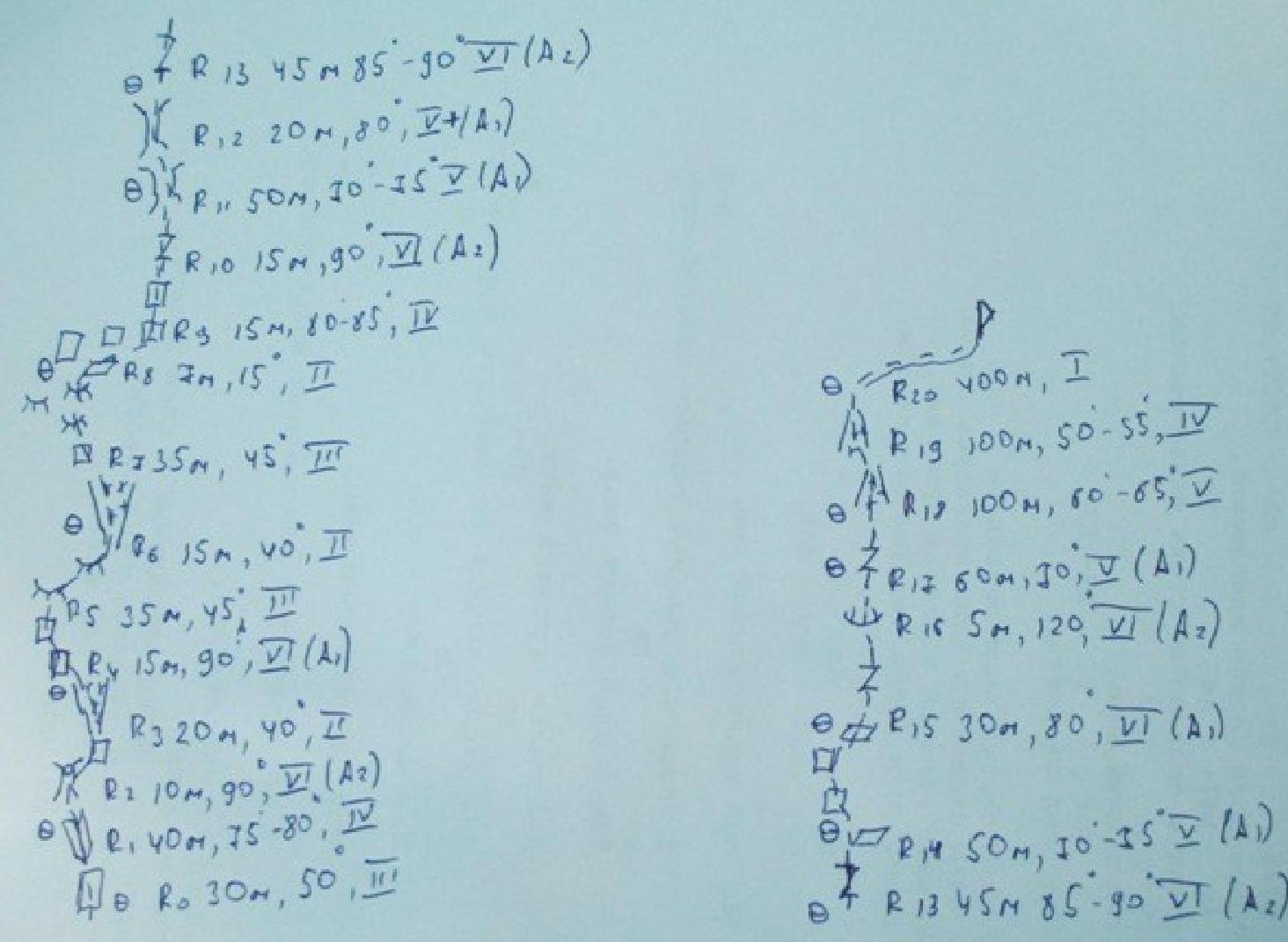
- Length of sections: I — 400 m, II — 40 m, III — 100 m, IV — 155 m, V — 280 m, VI — 120 m.
- Average steepness: main part of the route — 75–80°.
Total route — 50°.
- Hooks left on the route: total — 7.
- Used on the route: ice screws — 25, rock pitons — 85, chocks — 40.
- Total artificial protection points (APs) used — 80 pieces.
- Team's working hours: 37 hours, 3 days (two days for processing, one day for ascent).
- Team:
Seliverstov Sergey (leader), Usmanov Artur, Markevich Konstantin.
- Coach: Popov Fedor Efimovich
- Departure to the route: 5:00, February 27, 2013.
Reached the summit: 3:00, February 28, 2013. Returned to Base Camp (BC): 5:00, February 28, 2013. General view of the summit

- Mikhailov 5B.
- Our team's route. Route scheme

Route Profile | — | — | — | — | — |
Route Description
Departure from BC (Ratscek's stand) for processing on 24.02.2013 11:00. Descent to BC on 24.02.2013 15:00. Departure from BC for processing on 25.02.2013 8:00. Descent to BC on 25.02.2013 19:00. Departure on the route on 27.02.2013 5:00. Exit from the wall to the ridge on 28.02.2013 1:00. Reached the summit on 28.02.2013 2:00. Descent to BC on 28.02.2013 5:00
Approach through the lower part of the Ak-Sai glacier, under the north wall of p. Box, past the Mikhailovsky wall 5B category to R0–R1.
- R0–R1. Move through a gentle wall to a large chimney. 50°, 30 m, III.
- R1–R2. Movement through the chimney. Rocks are steep, but all is done by climbing. 75–80°, 40 m, IV/
- R2–R3. In the upper part of the chimney, there's a plug, so we move to the right wall. Set up APs. 90°, 10 m, VI (A2).
- R3–R4. From the wall, we exit to a snowy couloir. 40°, 20 m, II.
- R4–R5. The couloir ends with a steep wall. We exit via the left part. 90°, 15 m, VI (A1).
- R5–R6. From the wall, we exit to "ram's foreheads." 45°, 35 m, III.
- R6–R7. Up the snowy couloir and exit to the wall on the left side of the couloir. 40°, 15 m, III.
- R7–R8. Through rocky ledges, we exit to "ram's foreheads" and reach the wall. 45°, 35 m, III.
- R8–R9. Along an oblique snowy ledge, we move to the right. 15°, 7 m, II.
- R9–R10. Steep wall. Done by climbing. 80–85°, 15 m, IV.
- R11–R12. APs through a small chimney. We use anchors, friends, chocks. 70–75°, 50 m, V (A1).
- R12–R13. The chimney narrows and becomes steeper. 80°, 20 m, V+ (A1).
- R13–R14. The crux of the route. A narrow crack through the slabs. Only anchors and small pitons go. 85–90°, 45 m, VI (A2).
- R14–R15. We exit to an inclined ledge and then to the left large chimney, which ends with a system of walls. 70–75°, 50 m, V (A1).
- R15–R16. Up the crack to the overhang. 80°, 30 m, VI (A1).
- R16–R17. Overhang. 120°, 5 m, VI (A2).
- R17–R18. Up the crack to the ice couloir. 70°, 60 m, V (A1).
- R18–R19. We exit to a steep ice pitch, partly mixed. 60–65°, 100 m, V.
- R19–R20. The ice pitch becomes gentler and wider. We exit to the ridge via the ice. Be very careful at the exit — many loose stone blocks! 50–55°, 100 m, IV.
- R20–R21. On the ridge, we remove all equipment. Reach the descent saddle, leave backpacks here, and go to the summit.
Descent via 1B category of difficulty.
Section
R11–R12
Section
R12–R13
Photo: G. K. M. M. (Bergsma)
Photo: G. K. M. M. (Bergsma)
Photo: G. K. M. M. (Bergsma)
Photo: G. K. M. M. (Bergsma)
Photo: G. K. M. M. (Bergsma)
Photo: G. K. M. M. (Bergsma)
Photo: G. K. M. M. (Bergsma)
Photo: G. K. M. M. (Bergsma)
Photo: G. K. M. M. (Bergsma)
Photo: G. K. M. M. (Bergsma)
Photo: G. K. M. M. (Bergsma)
Photo: G. K. M. M. (Bergsma)
Photo: G. K. M. M. (Bergsma)
Photo: G. K. M. M. (Bergsma)
Photo: G. K. M. M. (Bergsma)
Photo: G. K. M. M. (Bergsma)
Photo: G. K. M. M. (Bergsma)
Photo: G. K. M. M. (Bergssma) — Photo: G. K. M. M. (Bergssma)
Photo: G. K. M. M. (Bergssma) — Photo: G. K. M. M. (Bergssma)
Photo: G. K. M. M. (Bergssma) — Photo: G. K. M. M. (Bergssma)
Photo: G. K. M. M. (Bergssma) — Photo: G. K. M. M. (Bergssma)
Photo: G. K. M. M. (Bergssma) — Photo: G. K. M. M. (Bergssma)
Photo: G. K. M. M. (Bergssma) — Photo: G. K. M. M. (Bergssma)
Photo: G. K. M. M. (Bergssma) — Photo: G. K. M. M. (Bergssma)
Photo: G. K. M. M. (Bergsma) (Photo: G. K. M. M. (Bergsma))
Photo: G. K. M. M. (Bergsma) (Photo: G. K. M. M. (Bergsma))
Photo: G. K. M. M. (Bergsma) (Photo: G. K. M. M. (Bergsma))
Photo: G. K. M. M. (Bergsma) (Photo: G. K. M. M. (Bergsma))
Photo: G. K. M. M. (Bergsma) (Photo: G. K. M. M. (Bergsma))
Photo: G. K. M. M. (Bergsma) (Photo: G. K. M. M. (Bergsma))
Photo: G. K. M. M. (Bergsma) (Photo: G. K. M. M. (Bergsma))

2021
2020
2019
2018
2017
2016
2015
2014
2013
2012
2011
2010
2009
2008
2007
2006
2005
2004
2003
2002
2001
2000
1999
1998
1997
1996
1995
1994
1993
1992
1991
1990
1989
1988
1987
1996
1985
1984
1983
1982
1981
1980
1979
1978
1977
1976
1975
1974
1973
1972
1971
1970
1969
1968
1967
1966
1965
1964
1963
1962
1961
1960
1959
1958
1957
1956
1955
1954
1953
1952
1951
1950
1949
1948
1947
1946
1945
1944
1943
1942
1941
1940
1939
1938
1937
1936
1935
1934
1933
1932
1931
1930
1929
1928
1927
1926
1925
1924
1923
1922
1921
1919
1918
1917
1916
1915
1914
1913
1912
1911
1910
1909
1908
1907
1906
1905
1904
1903
1902
1901
1900
1900
1900
1900
1900
1900
1900
1900
1900
1900
1900
1900
1900
1900
1900
1900
1900
1900
1900
1900
1900
1900
1900
1900
1900
1900
1900
1900
1900
1900
1900
1900
1900
1900
1900
1900
1900
1900
1900
1900
1900
1900
1900
1900
1900
1900
1900
1900
1900
1900
1900
1900
1900
1900
1900
1900
1900
1900
1900
1900
1900
1900
1900
1900
1900
1900
1900
1900
1900
1900
1900
1900
1900
1900
1900
1900
1900
1900
1900
1900
1900
1900
1900
1900
1900
1900
1900
1900
1900
1900
1900
1900
1900
1900
1900
1900
1900
1900
1900
1900
1900
1900
1900
1900
1900
1900
1900
1900
1900
1900
1900
1900
1900
1900
1900
1900
1900
1900
1900
1900
1900
1900
1900
1900
1900
1900
1900
1900
1900
1900
1900
1900
1900
1900
1900
1900
1900
1900
1900
1900
1900
1900
1900
1900
1900
1900
1900
1900
1900
1900
1900
1900
1900
1900
1900
1900
1900
1900
1900
1900
1900
1900
1900
1900
1900
1900
1900
1900
1900
1900
1900
1900
1900
1900
1900
1900
1900
1900
1900
1900
1900
1900
1900
1900
1900
1900
1900
1900
1900
1900
1900
1900
1900
1900
1900
1900
1900
1900
1900
1900
1900
1900
1900
1900
1900
1900
1900
1900
1900
1900
1900
1900
1900
1900
1900
1900
1900
1900
1900
1900
1900
1900
1900
1900
1900
1900
1900
1900
1900
1900
1900
1900
1900
1900
1900
1900
1900
1900
1900
1900
1900
1900
1900
1900
1900
1900
1900
1900
1900
1900
1900
1900
1900
1900
1900
1900
1900
1900
1900
1900
1900
1900
1900
1900
1900
1900
1900
1900
1900
1900
1900
1900
1900
1900
1900
1900
1900
1900
1900
1900
1900
1900
1900
1900
1900
1900
1900
1900
1900
1900
1900
1900
1900
1900
1900
1900
1900
1900
1900
1900
1900
1900
1900
1900
1900
1900
1900
1900
1900
1900
1900
1900
1900
1900
1900
1900
1900
1900
1900
1900
1900
1900
1900
1900
1900
1900
1900
1900
1900
1900
1900
1900
1900
1900
1900
1900
1900
1900
1900
1900
1900
1900
1900
1900
1900
1900
1900
1900
1900
1900
1900
1900
1900
1900
1900
1900
1900
1900
1900
1900
1900
1900
1900
1900
1900
1900
1900
1900
1900
1900
1900
1900
1900
1900
1900
1900
1900
1900
1900
1900
1900
1900
1900
1900
1900
1900
1900
1900
1900
1900
1900
1900
1900
1900
1900
1900
1900
1900
1900
1900
1900
1900
1900
1900
1900
1900
1900
1900
1900
1900
1900
1900
1900
1900
1900
1900
1900
1900
1900
1900
1900
1900
1900
1900
1900
1900
1900
1900
1900
1900
1900
1900
1900
1900
1900
1900
1900
1900
1900
1900
1900
1900
1900
1900
1900
1900
1900
1900
1900
1900
1900
1900
1900
1900
1900
1900
1900
1900
1900
1900
1900
1900
1900
1900
1900
1900
1900
1900
1900
1900
1900
1900
1900
1900
1900
1900
1900
1900
1900
1900
1900
1900
1900
1900
1900
1900
1900
1900
1900
1900
1900
1900
1900
1900
1900
1900
1900
1900
1900
1900
1900
1900
1900
1900
1900
1900
1900
1900
1900
1900
1900
1900
1900
1900
1900
1900
1900
1900
1900
1900
1900
1900
1900
1900
1900
1900
1900
1900
1900
1900
1900
1900
1900
1900
1900
1900
1900
1900
1900
1900
1900
1900
1900
1900
1900
1900
1900
1900
1900
1900
1900
1900
1900
1900
1900
1900
1900
1900
1900
1900
1900
1900
1900
1900
1900
1900
1900
1900
1900
1900
1900
1900
1900
1900
1900
1900
1900
1900
1900
1900
1900
1900
1900
1900
1900
1900
1900
1900
1900
1900
1900
1900
1900
1900
1900
1900
1900
1900
1900
1900
1900
1900
1900
1900
1900
1900
1900
1900
1900
1900
1900
1900
1900
1900
1900
1900
1900
1900
1900
1900
1900
1900
1900
1900
1900
1900
1900
1900
1900
1900
1900
1900
1900
1900
1900
1900
1900
1900
1900
1900
1900
1900
1900
1900
1900
1900
1900
1900
1900
1900
1900
1900
1900
1900
1900
1900
1900
1900
1900
1900
1900
1900
1900
1900
1900
1900
1900
1900
1900
1900
1900
1900
1900
1900
1900
1900
1900
1900
1900
1900
1900
1900
1900
1900
1900
1900
1900
1900
1900
1900
1900
1900
1900
1900
1900
1900
1900
1900
1900
1900
1900
1900
1900
1900
1900
1900
1900
1900
1900
1900
1900
1900
1900
1900
1900
1900
1900
1900
1900
1900
1900
1900
1900
1900
1900
1900
1900
1900
1900
1900
1900
1900
1900
1900
1900
1900
1900
1900
1900
1900
1900
1900
1900
1900
1900
1900
1900
1900
1900
1900
1900
1900
1900
1900
1900
1900
1900
1900
1900
1900
1900
1900
1900
1900
1900
1900
1900
1900
1900
1900
1900
1900
1900
1900
1900
1900
1900
1900
1900
1900
1900
1900
1900
1900
1900
1900
1900
1900
1900
1900
1900
1900
1900
1900
1900
1900
1900
1900
1900
1900
1900
1900
1900
1900
1900
1900
1900
1900
1900
1900
1900
1900
1900
1900
1900
1900
1900
1900
1900
1900
1900
1900
1900
1900
1900
1900
1900
1900
1900
1900
1900
1900
1900
1900
1900
1900
1900
1900
1900
1900
1900
1900
1900
1900
1900
1900
1900
1900
1900
1900
1900
1900
1900
1900
1900
1900
1900
1900
1900
1900
1900
1900
1900
1900
1900
1900
1900
1900
1900
1900
1900
1900
1900
1900
1900
1900
1900
1900
1900
1900
1900
1900
1900
1900
1900
1900
1900
1900
1900
1900
1900
1900
1900
1900
1900
1900
1900
1900
1900
1900
1900
1900
1900
1900
1900
1900
1900
1900
1900
1900
1900
1900
1900
1900
1900
1900
1900
1900
1900
1900
1900
1900
1900
1900
1900
1900
1900
1900
1900
1900
1900
1900
1900
1900
1900
1900
1900
1900
1900
1900
1900
1900
1900
1900
1900
1900
1900
1900
1900
1900
1900
1900
1900
1900
1900
1900
1900
1900
1900
1900
1900
1900
1900
1900
1900
1900
1900
1900
1900
1900
1900
1900
1900
1900
1900
1900
1900
1900
1900
1900
1900
1900
1900
1900
1900
1900
1900
1900
1900
1900
1900
1900
1900
1900
1900
1900
1900
1900
1900
1900
1900
1900
1900
1900
1900
1900
1900
1900
1900
1900
1900
1900
1900
1900
1900
1900
1900
1900
1900
1900
1900
1900
1900
1900
1900
1900
1900
1900
1900
1900
1900
1900
1900
1900
1900
1900
1900
1900
1900
1900
1900
1900
1900
1900
1900
1900
1900
1900
1900
1900
1900
1900
1900
1900
1900
1900
1900
1900
1900
1900
1900
1900
1900
1900
1900
1900
1900
1900
1900
1900
1900
1900
1900
1900
1900
1900
1900
1900
1900
1900
1900
1900
1900
1900
1900
1900
1900
1900
1900
1900
1900
1900
1900
1900
1900
1900
1900
1900
1900
1900
1900
1900
1900
1900
1900
1900
1900
1900
1900
1900
1900
1900
1900
1900
1900
1900
1900
1900
1900
1900
1900
1900
1900
1900
1900
1900
1900
1900
1900
1900
1900
1900
1900
1900
1900
1900
1900
1900
1900
1900
1900
1900
1900
1900
1900
1900
1900
1900
1900
1900
1900
1900
1900
1900
1900
1900
1900
1900
1900
1900
1900
1900
1900
1900
1900
1900
1900
1900
1900
1900
1900
1900
1900
1900
1900
1900
1900
1900
1900
1900
1900
1900
1900
1900
1900
1900
1900
1900
1900
1900
1900
1900
1900
1900
1900
1900
1900
1900
1900
1900
1900
1900
1900
1900
1900
1900
1900
1900
1900
1900
1900
1900
1900
1900
1900
1900
1900
1900
1900
1900
1900
1900
1900
1900
1900
1900
1900
1900
1900
1900
1900
1900
1900
1900
1900
1900
1900
1900
1900
1900
1900
1900
1900
1900
1900
1900
1900
1900
1900
1900
1900
1900
1900
1900
1900
1900
1900
1900
1900
1900
1900
1900
1900
1900
1900
1900
1900
1900
1900
1900
1900
1900
1900
1900
1900
1900
1900
1900
1900
1900
1900
1900
1900
1900
1900
1900
1900
1900
1900
1900
1900
1900
1900
1900
1900
1900
1900
1900
1900
1900
1900
1900
1900
1900
1900
1900
1900
1900
1900
1900
1900
1900
1900
1900
1900
1900
1900
1900
1900
1900
1900
1900
1900
1900
1900
1900
1900
1900
1900
1900
1900
1900
1900
1900
1900
1900
1900
1900
1900
1900
1900
1900
1900
1900
1900
1900
1900
1900
Comments
Sign in to leave a comment