Russian Mountaineering Championship
high-altitude technical class 2022
Report
on the second ascent to the summit of Vostochny 3361 m via the Direct of the North wall, 6A category, by a team from Krasnoyarsk on May 6-7, 2022
| I. ASCENT DOCUMENT 1. General Information | ||
|---|---|---|
| 1.1 | Full name, sports rank of the team leader | Kozlova A.P. (MS) |
| 1.2 | Full name, sports rank of the participants | Seryupova D.R. (MS) |
| 1.3 | Full name of the coach | Prokofiev D.E. (MS), Zakharov N.N. (MSMK), Balezin V.V. (MSMK) |
| 1.4 | Organization | Krasnoyarsk Regional Federation of Mountaineering |
| 2. Characteristics of the Ascent Object | ||
| 2.1 | Region | Tuva |
| 2.2 | Valley | Tsagan-Shibetu Ridge |
| 2.3 | Number of the section according to the 2013 classification table | 6.6.2 |
| 2.4 | Name and height of the summit | Vostochny 3361 m |
| 2.5 | Geographical coordinates of the summit (latitude/longitude), GPS coordinates | 50°20′ N, 91°00′ E |
| 3. Characteristics of the Route | ||
| 3.1 | Name of the route | Via the center of the North wall |
| 3.2 | Proposed category | 6A |
| 3.3 | Degree of route exploration | second ascent |
| 3.4 | Nature of the route terrain | combined |
| 3.5 | Height difference of the route (data from altimeter or GPS) | 580 m |
| 3.6 | Length of the route (in meters) | 710 m |
| 3.7 | Technical elements of the route (total length of sections of varying complexity with indication of terrain type (ice-snow, rock)) | Category 1 (rock) 150 m. Category 2 (rock) 40 m. Category 3 (rock) 125 m. Category 4 (rock) 20 m. Category 5 (rock) 60 m. Category 6 (rock) 72 m. Category 6 (rock) 69 m. Category 6 (rock) 244 m. |
| 3.8 | Average steepness of the route, (°) | 70° |
| 3.9 | Average steepness of the main part of the route, (°) | 75° |
| 3.10 | Descent from the summit | On foot via 1B |
| 3.11 | Additional characteristics of the route | The first part of the route has snow ledges, transitioning into walls with artificial technical aids (ITA) on loose terrain and key ropes A3. The second part is a wall with ITA A3 |
| 4. Characteristics of the Team's Actions | ||
| 4.1 | Time of movement (team's working hours, in hours and days) | 20 h 10 min, 2 days |
| 4.2 | Overnight stays | 1 |
| 4.3 | Time spent on route processing | 0 h, 0 days |
| 4.4 | Departure from the camp | 4:00 on May 6, 2022 |
| 4.5 | Start of work on the route | 5:20 on May 6, 2022 |
| 4.6 | Arrival at the summit | 15:22 on May 7, 2022 |
| 4.7 | Return to the base camp | 18:15 on May 7, 2022 |
| 5. Characteristics of Weather Conditions | ||
| 5.1 | Temperature, °C | Day: –5, night: –10–15 |
| 5.2 | Wind speed, m/s | 5–7 m/s |
| 5.3 | Precipitation | none |
| 5.4 | Visibility, m | full |
| 6. Responsible for the Report | ||
| 6.1 | Full name, e-mail | Kozlova A.P. anastasiyak.kozlova.1995@mail.ru |

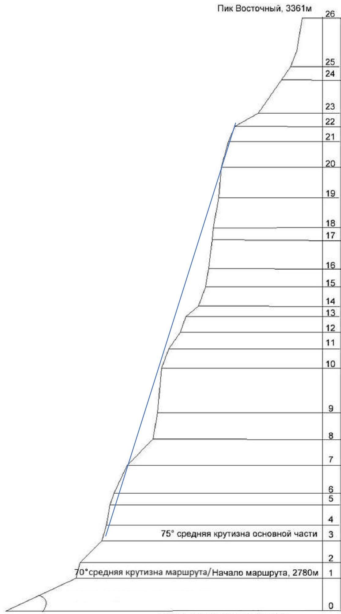
Peak Vostochny, 3361 m 1 — 6A via the Center of the North wall (Balezin, 1999) 2 — the route taken 3 — 5B via the North Ridge (Balezin, 1999)
Peak Vostochny, 3361 m
Photo taken from Alexander Zhigalov's description
Route profile on the left
2780 m
Taken from the middle shelf of the "Stolb" route

Hand-drawn route profile

Tactical Actions of the Team
We learned about this route from the first ascenders, Stanislav Katanaev and Alexander Zhigalov. They climbed it in 2014, and since then it had remained unrepeated, which caught our attention. Our goal was to make a second ascent of this line as a female duo!
After studying the route description, discussing it with the authors, and subsequently observing it through binoculars on site, we understood that the route is technically very challenging due to many sections requiring artificial technical aids (A3). After consulting with our coach, Denis Prokofiev, we decided that the ascent would be a two-day effort without prior acclimatization climbs. We planned to spend the night on a large snow shelf in the middle of the route.
We made a preliminary cache of our main equipment at the base of the route. We used the same bivouac gear as in our main camp, sharing one sleeping pad, sleeping bag, jetboil, gas canister, and backpack between the two of us.
On May 6, 2022:
- We rose at 3:00 AM
- Departed from camp at 4:00 AM
- Began working on the route at 5:20 AM
7 meters from the start, the leader experienced a fall due to unreliable rock, with a lot of "loose terrain"! The first section involved alternating between artificial technical aids and climbing with limited protection due to the destroyed terrain and traversing steep and long snow ledges without protection.
Key sections involved A3 artificial technical aids with a lot of "loose terrain":
- A ledge gave way under the leader's feet in a chimney
- A rope was cut
- The second climber suffered a minor shoulder injury
We reached the ledge on May 6, 2022, around 2:20 PM, changed leaders, and began processing the second part of the route at 3:50 PM. By 6:00 PM, we were preparing our overnight spot.
On May 7, 2022:
- We rose at 4:00 AM
- The leader started working on the wall at 6:20 AM
The second part of the route was significantly more challenging than the first, with greater steepness, more unreliable terrain, mostly "deaf" cracks for anchors, and artificial technical aids rated A3+.
We reached the summit of Peak Vostochny at 3:20 PM on the same day.
The route was completed relatively quickly for a female duo, thanks to the use of simultaneous movement techniques.
Experience of the participants:
- Kozlova Anastasia had visited this area multiple times, including in 2021
- She has experience with local climbs ranging from 5A to 6A
Given the above, we petition for the route to be rated 6A.
Confirmations from other climbers:
- A team led by Alexander Parfenov climbed the route after us and confirmed that it is currently the most challenging in the area and may be worthy of a higher category
- The route's authors, Alexander Zhigalov and Stanislav Katanaev, share a similar opinion
- The national team coach, Valery Viktorovich Balezin, also supports this assessment
Route Diagram in UIAA Symbols

Description by Sections
Section R0–R1 – beginning of the route, via a snowy couloir under the wall.
Section R1–R2:
- Internal corner with smoothed cracks, ending in a small overhang.
- The overhang is passed on the left.
- Then, up a sloping snow ledge to the left, to the start of a black internal corner.
Section R2–R5 – long black internal corner. There are small sloping ledges in places. The terrain is very "poor" due to frequent snowfalls. At the top, there's a large cornish fender:
- It's bypassed on the left via a crack.
- It's not recommended to load it as it's "alive". Exit onto a small ledge under the cornice.
Section R5–R6 – from the ledge to the right of the cornice, up the wall with a crack using artificial technical aids. Then, into a wide internal corner.
Section R6–R7 – a series of "ram's foreheads" – small walls. Easy climbing, exit onto a ledge.
Section R7–R8 – traverse left across ledges, through a sloping internal corner, exit onto a ledge. Easy climbing. Approach to a Y-shaped crack.
Section R8–R9 – up a small internal corner, through a small ledge on the right. Then, a clear Y-shaped crack, up to the left. Climbing using artificial technical aids on fiffis and anchors. Be cautious, as the terrain is very destroyed. The stance is hanging on anchors hammered into this single crack. To the right of the stance:
- large sounding slabs
- a tin can hangs from the lower one
- we removed a note
Section R9–R10 – the first key section of the route. After a control cairn, the crack continues up to the left for about 12 meters, with anchors and fiffis hammered into "deaf" cracks and between large sounding slabs, with unreliable points. Then, the crack hits a rusty fold going up from left to right. It slightly overhangs. Climbing is done by choosing more reliable terrain:
- through various cracks and fissures upwards
- using camalots, eccentrics, fiffis, and anchors. It's recommended to pass this section in the first half of the day as the rusty fold thaws after noon, making it hard to find reliable terrain. Then, exit into a destroyed internal corner, with a stance on a ledge.
Section R10–R11 – up the internal corner, transitioning into a wide chimney, with difficult climbing and many loose cardboard rocks.
Section R11–R12 – a series of "ram's foreheads" and small ledges, exit onto a sloping snow ledge under a destroyed wall. Easy climbing.
Section R12–R13 – a destroyed wall, passed by climbing.
Section R13–R14 – the middle shelf. Team's overnight stay.
Section R14–R15 – a shared section with route 6A by V. Balezin. Up the edge of the bastion using artificial technical aids. Stance on a small ledge.
Section R15–R16 – from the ledge, route 6A by V. Balezin goes left in a traverse, our route goes up to the right, with the orientation being the rightmost crack or half-chimney on the bastion. Up the wall using artificial technical aids, stance on a small ledge. There was no second control cairn.
Section R16–R17 – from the ledge up, slightly to the left, using artificial technical aids towards a half-chimney. In places, one can climb through "deaf" cracks near the chimney using fiffis and anchors. Or through the chimney itself, which requires camalots 5 and 6 (we didn't have the 6). Artificial technical aids are difficult, with many "living" slabs. The stance is hanging on the chimney.
Section R17–R18 – the chimney widens; we passed this section using a camalot 5 and fiffis. "Deaf" cracks run parallel to the chimney, with unreliable protection. Then, exit onto a wall with a thin crack, partly "deaf". Artificial technical aids are very challenging, with unreliable points and many "living" blocks. Stance on a small ledge underfoot.
Section R18–R19 – the second key section of the route. From the ledge up, slightly to the left, via a thin "deaf" crack on fiffis. Then, through a half-chimney on large camalots to a thin crack. It ends in places and is "deaf" in others. At the top, artificial technical aids on fiffis on the terrain. Very challenging artificial technical aids with extremely unreliable points at the top. Exit onto a small ledge with snow.
Section R19–R20 – from the ledge up a crack under a cornice for about 2 meters, then traverse left for 3 meters under the cornice. Then, up a steep wall with a single thin crack. Here, you need:
- many small mini-cams
- закладок
- anchors with a bend. To the left, 2 meters away, there's a half-chimney. Exit onto a comfortable ledge under large cornices.
Section R20–R21 – up a sloping wall to the left on fiffis, through a ledge. Then, left of the large cornices, up a hanging crack, through a small cornice, exit onto a large snow-covered ledge, with a stance. On it, a control cairn is built from stones. This spot allows for an emergency overnight stay for 3-4 people. The ledge is quite flat and comfortable.
Section R21–R22 – from the right part of the ledge, up a wide chimney, in a straddle. Then, easy climbing, exit onto a large ledge, the start of the "roof".
Section R22–R23 – a large ledge on the "roof".
Section R23–R24 – from the ledge to the left, onto the ridge, with easy climbing, partly on snow.
Section R24–R25 – down a snowy couloir, with "ram's foreheads" in places, easy climbing, approach to the "rusty" wall, the upper bastion of Peak Vostochny.
Section R25–R26 – up the wall via medium cracks using artificial technical aids. Stance on a small ledge underfoot.
Section R26–R27 – up the crack, using artificial technical aids on medium and large camalots. The wall slightly overhangs at the top. Then, through a small cornice, exit beyond the bend. Up "ram's foreheads" and snow to the summit, directly to the control cairn.
Peak Vostochny, 3361 m
Technical photo of the route

View of the route from below

"Living" cornice. Section R4–R5

Key section R9–R10. Climbing using artificial technical aids. Photo from stance R9

Overhanging rusty fold going up from left to right.

Section R10–R11
Photo taken from Alexander Zhigalov's description. We didn't take photos due to falling stones!
Start of the 2nd section after the middle shelf R14–R15

R16–R17 to the right of the yellow rope, "living" blocks, climbing using artificial technical aids.

Section towards R19–R20. Photo from stance R19, ledge with snow.

Passing the cornice on section R20–R21.

View of sections R25–R27, climbing using artificial technical aids.
Team Anastasia Kozlova and Daria Seryupova at the summit of Peak Vostochny. We forgot to take a joint photo.
